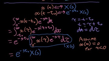
ECE3084 Lecture 19: The Fourier Time-Derivative Property (Signals & Systems, Summer 2020, GA Tech)

Tonton & Download Video Musik Gratis

⬇ DOWNLOAD NOW
Kalau muncul iklan pop-up, tutup lalu klik tombol kembali

Download lagu ECE3084 Lecture 19: The Fourier Time-Derivative Property (Signals & Systems, Summer 2020, GA Tech) secara gratis hanya untuk keperluan promosi. Dukung artis favorit kamu dengan membeli musik original di iTunes atau platform resmi lainnya.