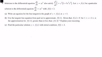
AP Calculus AB 2010 #6 FRQ Free Response calc differential equation separation variables equations

Tonton & Download Video Musik Gratis

⬇ DOWNLOAD NOW
Kalau muncul iklan pop-up, tutup lalu klik tombol kembali

Download lagu AP Calculus AB 2010 #6 FRQ Free Response calc differential equation separation variables equations secara gratis hanya untuk keperluan promosi. Dukung artis favorit kamu dengan membeli musik original di iTunes atau platform resmi lainnya.