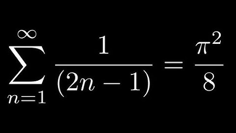
This is SERIESLY NUTS! Deriving the Sum of Reciprocals of the Odd Numbers Squared using INTEGRALS!

Tonton & Download Video Musik Gratis

⬇ DOWNLOAD NOW
Kalau muncul iklan pop-up, tutup lalu klik tombol kembali

Download lagu This is SERIESLY NUTS! Deriving the Sum of Reciprocals of the Odd Numbers Squared using INTEGRALS! secara gratis hanya untuk keperluan promosi. Dukung artis favorit kamu dengan membeli musik original di iTunes atau platform resmi lainnya.