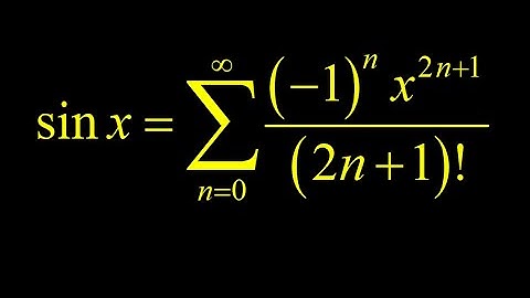
Activity 8.5.5, part c: Finding the Interval of Convergence with the Ratio Test for Sine

Tonton & Download Video Musik Gratis

⬇ DOWNLOAD NOW
Kalau muncul iklan pop-up, tutup lalu klik tombol kembali

Download lagu Activity 8.5.5, part c: Finding the Interval of Convergence with the Ratio Test for Sine secara gratis hanya untuk keperluan promosi. Dukung artis favorit kamu dengan membeli musik original di iTunes atau platform resmi lainnya.