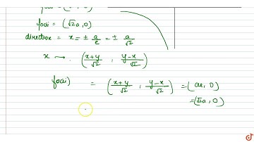
If the circle `x^2 + y^2 = a^2` intersects the hyperbola `xy=c^2` in four points

Tonton & Download Video Musik Gratis

⬇ DOWNLOAD NOW
Kalau muncul iklan pop-up, tutup lalu klik tombol kembali

Download lagu If the circle `x^2 + y^2 = a^2` intersects the hyperbola `xy=c^2` in four points secara gratis hanya untuk keperluan promosi. Dukung artis favorit kamu dengan membeli musik original di iTunes atau platform resmi lainnya.