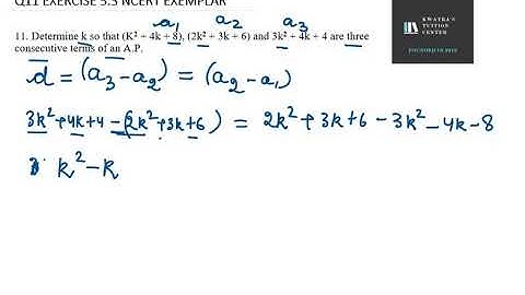
If k2 + 4k + 8, 2k2 + 3k + 6 and 3k2 + 4k + 4 are in AP, find the value of k. Class 10 Maths AP

Tonton & Download Video Musik Gratis

⬇ DOWNLOAD NOW
Kalau muncul iklan pop-up, tutup lalu klik tombol kembali

Download lagu If k2 + 4k + 8, 2k2 + 3k + 6 and 3k2 + 4k + 4 are in AP, find the value of k. Class 10 Maths AP secara gratis hanya untuk keperluan promosi. Dukung artis favorit kamu dengan membeli musik original di iTunes atau platform resmi lainnya.