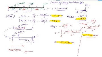
#23 Numerical-3 || Slope Deflection Method || Structural Analysis-II

Tonton & Download Video Musik Gratis

⬇ DOWNLOAD NOW
Kalau muncul iklan pop-up, tutup lalu klik tombol kembali

Download lagu #23 Numerical-3 || Slope Deflection Method || Structural Analysis-II secara gratis hanya untuk keperluan promosi. Dukung artis favorit kamu dengan membeli musik original di iTunes atau platform resmi lainnya.