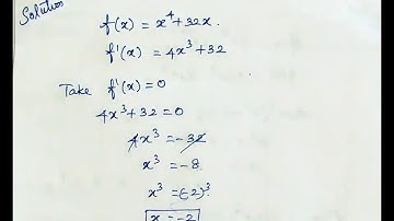
12th Std Maths Example 7.59 Find local extremum of the function f(x) = x⁴+32x

Tonton & Download Video Musik Gratis

⬇ DOWNLOAD NOW
Kalau muncul iklan pop-up, tutup lalu klik tombol kembali

Download lagu 12th Std Maths Example 7.59 Find local extremum of the function f(x) = x⁴+32x secara gratis hanya untuk keperluan promosi. Dukung artis favorit kamu dengan membeli musik original di iTunes atau platform resmi lainnya.