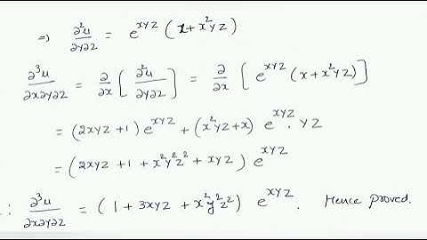
If u=e^xyz, show that del^3u/delx dely delz=(1 + 3xyz + x^2y^2z^2)e^xyz. Partial Differentiation

Tonton & Download Video Musik Gratis

⬇ DOWNLOAD NOW
Kalau muncul iklan pop-up, tutup lalu klik tombol kembali

Download lagu If u=e^xyz, show that del^3u/delx dely delz=(1 + 3xyz + x^2y^2z^2)e^xyz. Partial Differentiation secara gratis hanya untuk keperluan promosi. Dukung artis favorit kamu dengan membeli musik original di iTunes atau platform resmi lainnya.