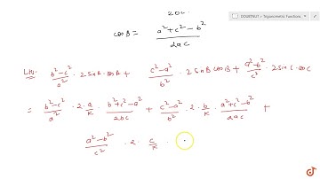
Prove that (b² - c²)/a² sin 2A + (c² - a²)/b² sin 2B + (a² - ²)/c² sin 2C = 0

Tonton & Download Video Musik Gratis

⬇ DOWNLOAD NOW
Kalau muncul iklan pop-up, tutup lalu klik tombol kembali

Download lagu Prove that (b² - c²)/a² sin 2A + (c² - a²)/b² sin 2B + (a² - ²)/c² sin 2C = 0 secara gratis hanya untuk keperluan promosi. Dukung artis favorit kamu dengan membeli musik original di iTunes atau platform resmi lainnya.