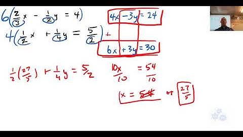
Math 10 - Linear Systems - Lesson 4 (Section 7.5) - Solving Linear Systems by Elimination

Tonton & Download Video Musik Gratis

⬇ DOWNLOAD NOW
Kalau muncul iklan pop-up, tutup lalu klik tombol kembali

Download lagu Math 10 - Linear Systems - Lesson 4 (Section 7.5) - Solving Linear Systems by Elimination secara gratis hanya untuk keperluan promosi. Dukung artis favorit kamu dengan membeli musik original di iTunes atau platform resmi lainnya.