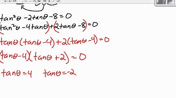
LG07 Lesson 2a Solving a Trigonometric Equation without unit circle

Tonton & Download Video Musik Gratis

⬇ DOWNLOAD NOW
Kalau muncul iklan pop-up, tutup lalu klik tombol kembali

Download lagu LG07 Lesson 2a Solving a Trigonometric Equation without unit circle secara gratis hanya untuk keperluan promosi. Dukung artis favorit kamu dengan membeli musik original di iTunes atau platform resmi lainnya.