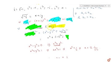
Tonton & Download Video Musik Gratis
Download lagu Find the square root of the following complex number: ltmath gt ltmrow gt ltmo gt− l secara gratis hanya untuk keperluan promosi. Dukung artis favorit kamu dengan membeli musik original di iTunes atau platform resmi lainnya.