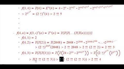
Ridiculously Huge Numbers Redux: Making the most of the fast-growing hierarchy (Part 3)

Tonton & Download Video Musik Gratis

⬇ DOWNLOAD NOW
Kalau muncul iklan pop-up, tutup lalu klik tombol kembali

Download lagu Ridiculously Huge Numbers Redux: Making the most of the fast-growing hierarchy (Part 3) secara gratis hanya untuk keperluan promosi. Dukung artis favorit kamu dengan membeli musik original di iTunes atau platform resmi lainnya.