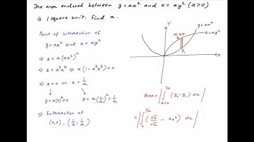
If the area enclosed between the curves `y=kx^2` and `x=ky^2`, where `kgt0`, is 1 square unit

Tonton & Download Video Musik Gratis

⬇ DOWNLOAD NOW
Kalau muncul iklan pop-up, tutup lalu klik tombol kembali

Download lagu If the area enclosed between the curves `y=kx^2` and `x=ky^2`, where `kgt0`, is 1 square unit secara gratis hanya untuk keperluan promosi. Dukung artis favorit kamu dengan membeli musik original di iTunes atau platform resmi lainnya.