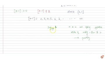
Find the range of the following. f(x)=log _[x-1]sin x, where [.] denotes the greatest integer fun...

Tonton & Download Video Musik Gratis

⬇ DOWNLOAD NOW
Kalau muncul iklan pop-up, tutup lalu klik tombol kembali

Download lagu Find the range of the following. f(x)=log _[x-1]sin x, where [.] denotes the greatest integer fun... secara gratis hanya untuk keperluan promosi. Dukung artis favorit kamu dengan membeli musik original di iTunes atau platform resmi lainnya.