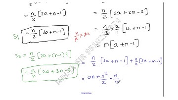
S1+S3=2S2 If S1 , S2 , S3 are the sum of n terms of three AP’s, the first term of each being unity

Tonton & Download Video Musik Gratis

⬇ DOWNLOAD NOW
Kalau muncul iklan pop-up, tutup lalu klik tombol kembali

Download lagu S1+S3=2S2 If S1 , S2 , S3 are the sum of n terms of three AP’s, the first term of each being unity secara gratis hanya untuk keperluan promosi. Dukung artis favorit kamu dengan membeli musik original di iTunes atau platform resmi lainnya.