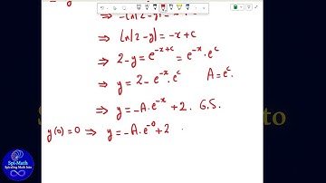
12th Std Maths Ex.10.9(25) The slope at any points of a curve y= f(x) is given by dy/dx = 3x² and it

Tonton & Download Video Musik Gratis

⬇ DOWNLOAD NOW
Kalau muncul iklan pop-up, tutup lalu klik tombol kembali

Download lagu 12th Std Maths Ex.10.9(25) The slope at any points of a curve y= f(x) is given by dy/dx = 3x² and it secara gratis hanya untuk keperluan promosi. Dukung artis favorit kamu dengan membeli musik original di iTunes atau platform resmi lainnya.