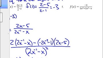
Calculus Unit 3.3 Notes Video 2 Product Rule and Quotient Rule for Derivatives

Tonton & Download Video Musik Gratis

⬇ DOWNLOAD NOW
Kalau muncul iklan pop-up, tutup lalu klik tombol kembali

Download lagu Calculus Unit 3.3 Notes Video 2 Product Rule and Quotient Rule for Derivatives secara gratis hanya untuk keperluan promosi. Dukung artis favorit kamu dengan membeli musik original di iTunes atau platform resmi lainnya.