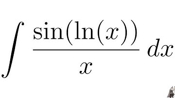
Integral of sin(ln x) / x ✍️ | u-Substitution for Logarithmic Trig Integration

Tonton & Download Video Musik Gratis

⬇ DOWNLOAD NOW
Kalau muncul iklan pop-up, tutup lalu klik tombol kembali

Download lagu Integral of sin(ln x) / x ✍️ | u-Substitution for Logarithmic Trig Integration secara gratis hanya untuk keperluan promosi. Dukung artis favorit kamu dengan membeli musik original di iTunes atau platform resmi lainnya.