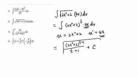
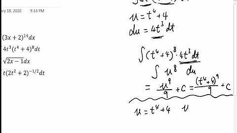
Q•15 U-SUBSTITUTION SHORTCUT || INTEGRATION CONQUERED || OIDP PRINCIPLE || COMPLETE ADVENTURE

Tonton & Download Video Musik Gratis

⬇ DOWNLOAD NOW
Kalau muncul iklan pop-up, tutup lalu klik tombol kembali

Download lagu Q•15 U-SUBSTITUTION SHORTCUT || INTEGRATION CONQUERED || OIDP PRINCIPLE || COMPLETE ADVENTURE secara gratis hanya untuk keperluan promosi. Dukung artis favorit kamu dengan membeli musik original di iTunes atau platform resmi lainnya.