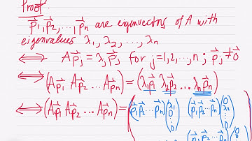
(3.8.2) Matrix Exponentials for the General Case: N by N with N Linearly Indep Eigenvectors

Tonton & Download Video Musik Gratis

⬇ DOWNLOAD NOW
Kalau muncul iklan pop-up, tutup lalu klik tombol kembali

Download lagu (3.8.2) Matrix Exponentials for the General Case: N by N with N Linearly Indep Eigenvectors secara gratis hanya untuk keperluan promosi. Dukung artis favorit kamu dengan membeli musik original di iTunes atau platform resmi lainnya.