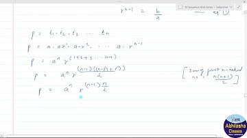
23. If the first and the nth term of a G.P. are a and b, respectively, and if P is theproduct of

Tonton & Download Video Musik Gratis

⬇ DOWNLOAD NOW
Kalau muncul iklan pop-up, tutup lalu klik tombol kembali

Download lagu 23. If the first and the nth term of a G.P. are a and b, respectively, and if P is theproduct of secara gratis hanya untuk keperluan promosi. Dukung artis favorit kamu dengan membeli musik original di iTunes atau platform resmi lainnya.