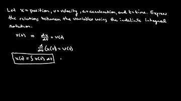
Knowing my velocity, what is my position? - Week 10 - Lecture 10 - Mooculus

Tonton & Download Video Musik Gratis

⬇ DOWNLOAD NOW
Kalau muncul iklan pop-up, tutup lalu klik tombol kembali

Download lagu Knowing my velocity, what is my position? - Week 10 - Lecture 10 - Mooculus secara gratis hanya untuk keperluan promosi. Dukung artis favorit kamu dengan membeli musik original di iTunes atau platform resmi lainnya.