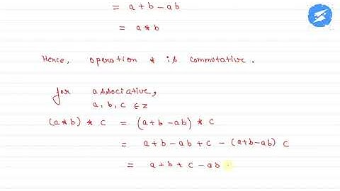
Let Z be the set of all integers and let R be a relation on Z defined by a R b`hA

Tonton & Download Video Musik Gratis

⬇ DOWNLOAD NOW
Kalau muncul iklan pop-up, tutup lalu klik tombol kembali

Download lagu Let Z be the set of all integers and let R be a relation on Z defined by a R b`hA secara gratis hanya untuk keperluan promosi. Dukung artis favorit kamu dengan membeli musik original di iTunes atau platform resmi lainnya.