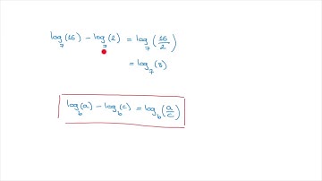
The Subtraction Logarithm Rule Proof Ms. Michael should've showed you #SHORTS

Tonton & Download Video Musik Gratis

⬇ DOWNLOAD NOW
Kalau muncul iklan pop-up, tutup lalu klik tombol kembali

Download lagu The Subtraction Logarithm Rule Proof Ms. Michael should've showed you #SHORTS secara gratis hanya untuk keperluan promosi. Dukung artis favorit kamu dengan membeli musik original di iTunes atau platform resmi lainnya.