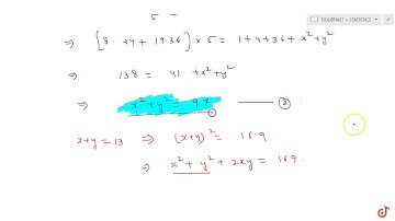
The mean of 5 observations is 4.4 and variance is 8.24. If three of the five observations are 1, 2

Tonton & Download Video Musik Gratis

⬇ DOWNLOAD NOW
Kalau muncul iklan pop-up, tutup lalu klik tombol kembali

Download lagu The mean of 5 observations is 4.4 and variance is 8.24. If three of the five observations are 1, 2 secara gratis hanya untuk keperluan promosi. Dukung artis favorit kamu dengan membeli musik original di iTunes atau platform resmi lainnya.