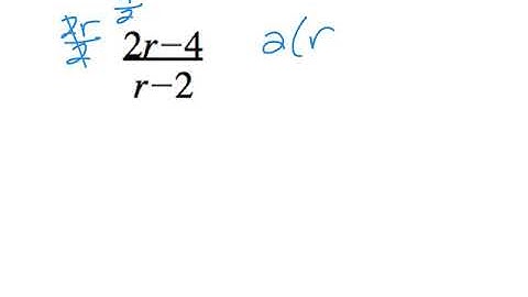
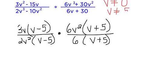
Ms. Shannon's Skills Videos - simplifying rational expression top and bottom need some factoring

Tonton & Download Video Musik Gratis

⬇ DOWNLOAD NOW
Kalau muncul iklan pop-up, tutup lalu klik tombol kembali

Download lagu Ms. Shannon's Skills Videos - simplifying rational expression top and bottom need some factoring secara gratis hanya untuk keperluan promosi. Dukung artis favorit kamu dengan membeli musik original di iTunes atau platform resmi lainnya.