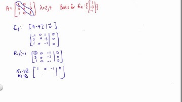
Diagonalization Method with Example #Diagonalization #linearalgebra #eevibes

Tonton & Download Video Musik Gratis

⬇ DOWNLOAD NOW
Kalau muncul iklan pop-up, tutup lalu klik tombol kembali

Download lagu Diagonalization Method with Example #Diagonalization #linearalgebra #eevibes secara gratis hanya untuk keperluan promosi. Dukung artis favorit kamu dengan membeli musik original di iTunes atau platform resmi lainnya.