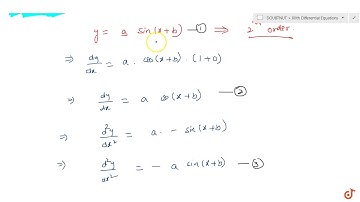
Form the differential equation representing the family of curves `y=A cos(x+B)` where A and B ar...

Tonton & Download Video Musik Gratis

⬇ DOWNLOAD NOW
Kalau muncul iklan pop-up, tutup lalu klik tombol kembali

Download lagu Form the differential equation representing the family of curves `y=A cos(x+B)` where A and B ar... secara gratis hanya untuk keperluan promosi. Dukung artis favorit kamu dengan membeli musik original di iTunes atau platform resmi lainnya.