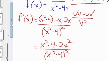
4. Extrema - Part 4 - Another Example of the First Derivative Test, A Vertical Asymptote

Tonton & Download Video Musik Gratis

⬇ DOWNLOAD NOW
Kalau muncul iklan pop-up, tutup lalu klik tombol kembali

Download lagu 4. Extrema - Part 4 - Another Example of the First Derivative Test, A Vertical Asymptote secara gratis hanya untuk keperluan promosi. Dukung artis favorit kamu dengan membeli musik original di iTunes atau platform resmi lainnya.