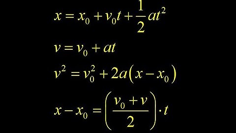
v^2=2as Formula Rectinear Motion Differential Equation Antiderivative

Tonton & Download Video Musik Gratis

⬇ DOWNLOAD NOW
Kalau muncul iklan pop-up, tutup lalu klik tombol kembali

Download lagu v^2=2as Formula Rectinear Motion Differential Equation Antiderivative secara gratis hanya untuk keperluan promosi. Dukung artis favorit kamu dengan membeli musik original di iTunes atau platform resmi lainnya.