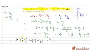
If `sin(alpha+beta) = 1` and `sin(alpha-beta) =1/2` where `0 lt=alpha,beta lt= pi/2` then find...

Tonton & Download Video Musik Gratis

⬇ DOWNLOAD NOW
Kalau muncul iklan pop-up, tutup lalu klik tombol kembali

Download lagu If `sin(alpha+beta) = 1` and `sin(alpha-beta) =1/2` where `0 lt=alpha,beta lt= pi/2` then find... secara gratis hanya untuk keperluan promosi. Dukung artis favorit kamu dengan membeli musik original di iTunes atau platform resmi lainnya.