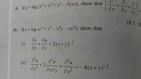
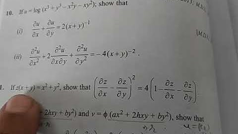
chapter 5 partial differentiation Question 9 of exercise 5.1 lecture (12)

Tonton & Download Video Musik Gratis

⬇ DOWNLOAD NOW
Kalau muncul iklan pop-up, tutup lalu klik tombol kembali

Download lagu chapter 5 partial differentiation Question 9 of exercise 5.1 lecture (12) secara gratis hanya untuk keperluan promosi. Dukung artis favorit kamu dengan membeli musik original di iTunes atau platform resmi lainnya.