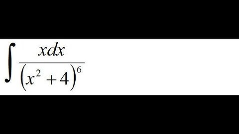
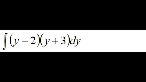
How to Find the Indefinite Integral – Step-by-Step Tutorial 05

Tonton & Download Video Musik Gratis

⬇ DOWNLOAD NOW
Kalau muncul iklan pop-up, tutup lalu klik tombol kembali

Download lagu How to Find the Indefinite Integral – Step-by-Step Tutorial 05 secara gratis hanya untuk keperluan promosi. Dukung artis favorit kamu dengan membeli musik original di iTunes atau platform resmi lainnya.