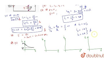
Switch `S` is closed at time `t=0`. in the circuit shown in figure. a. Find the time varying qua...

Tonton & Download Video Musik Gratis

⬇ DOWNLOAD NOW
Kalau muncul iklan pop-up, tutup lalu klik tombol kembali

Download lagu Switch `S` is closed at time `t=0`. in the circuit shown in figure. a. Find the time varying qua... secara gratis hanya untuk keperluan promosi. Dukung artis favorit kamu dengan membeli musik original di iTunes atau platform resmi lainnya.