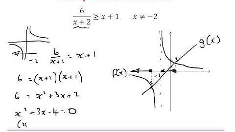
4.2 Using Graphs to Solve Inequalities (FP1 - Chapter 4: Inequalities)

Tonton & Download Video Musik Gratis

⬇ DOWNLOAD NOW
Kalau muncul iklan pop-up, tutup lalu klik tombol kembali

Download lagu 4.2 Using Graphs to Solve Inequalities (FP1 - Chapter 4: Inequalities) secara gratis hanya untuk keperluan promosi. Dukung artis favorit kamu dengan membeli musik original di iTunes atau platform resmi lainnya.