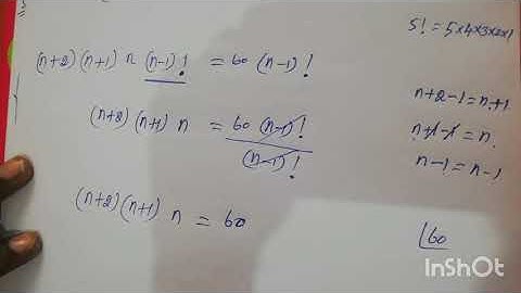
TN Class 11 Business Maths Algebra Ex 2.2 Sum 3

Tonton & Download Video Musik Gratis

тмЗ DOWNLOAD NOW
Kalau muncul iklan pop-up, tutup lalu klik tombol kembali

Download lagu TN Class 11 Business Maths Algebra Ex 2.2 Sum 3 secara gratis hanya untuk keperluan promosi. Dukung artis favorit kamu dengan membeli musik original di iTunes atau platform resmi lainnya.