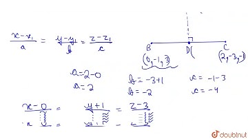
The foot of the perpendicular drawn from the point \( (1,8,4) \) on the line joining the points ...

Tonton & Download Video Musik Gratis

⬇ DOWNLOAD NOW
Kalau muncul iklan pop-up, tutup lalu klik tombol kembali

Download lagu The foot of the perpendicular drawn from the point \( (1,8,4) \) on the line joining the points ... secara gratis hanya untuk keperluan promosi. Dukung artis favorit kamu dengan membeli musik original di iTunes atau platform resmi lainnya.