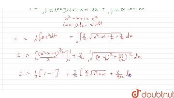
A point moves so that the difference of the squares of its distance from two fixed points (a, 0)

Tonton & Download Video Musik Gratis

⬇ DOWNLOAD NOW
Kalau muncul iklan pop-up, tutup lalu klik tombol kembali

Download lagu A point moves so that the difference of the squares of its distance from two fixed points (a, 0) secara gratis hanya untuk keperluan promosi. Dukung artis favorit kamu dengan membeli musik original di iTunes atau platform resmi lainnya.