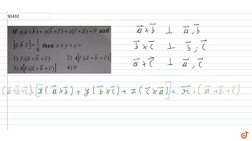
If `bar a xx bar b = bar c and bar b xx bar c=bar a`, then

Tonton & Download Video Musik Gratis

⬇ DOWNLOAD NOW
Kalau muncul iklan pop-up, tutup lalu klik tombol kembali

Download lagu If `bar a xx bar b = bar c and bar b xx bar c=bar a`, then secara gratis hanya untuk keperluan promosi. Dukung artis favorit kamu dengan membeli musik original di iTunes atau platform resmi lainnya.