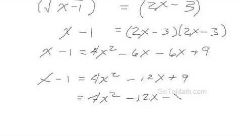
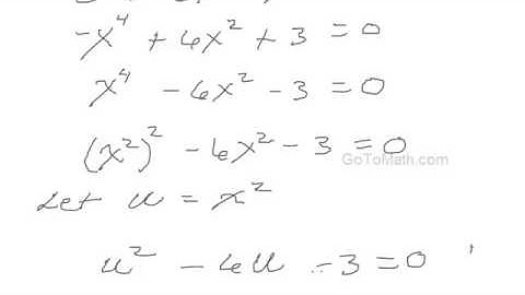
How to Solve the Equations Reducible to Quadratic Forms by Substitution | Type 2 | Math Dot Com

Tonton & Download Video Musik Gratis

⬇ DOWNLOAD NOW
Kalau muncul iklan pop-up, tutup lalu klik tombol kembali

Download lagu How to Solve the Equations Reducible to Quadratic Forms by Substitution | Type 2 | Math Dot Com secara gratis hanya untuk keperluan promosi. Dukung artis favorit kamu dengan membeli musik original di iTunes atau platform resmi lainnya.