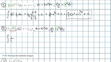
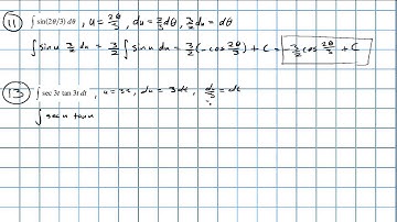
Calc 4.5 Q7 - Substitution Rule (aka U-Substitution) - James Stewart 8th

Tonton & Download Video Musik Gratis

⬇ DOWNLOAD NOW
Kalau muncul iklan pop-up, tutup lalu klik tombol kembali

Download lagu Calc 4.5 Q7 - Substitution Rule (aka U-Substitution) - James Stewart 8th secara gratis hanya untuk keperluan promosi. Dukung artis favorit kamu dengan membeli musik original di iTunes atau platform resmi lainnya.