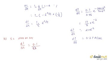
An LR circuit having a time constant of 50 ms is connected with an ideal battery of emf epsilon ...

Tonton & Download Video Musik Gratis

⬇ DOWNLOAD NOW
Kalau muncul iklan pop-up, tutup lalu klik tombol kembali

Download lagu An LR circuit having a time constant of 50 ms is connected with an ideal battery of emf epsilon ... secara gratis hanya untuk keperluan promosi. Dukung artis favorit kamu dengan membeli musik original di iTunes atau platform resmi lainnya.