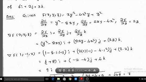
Calicut University-Sem 3 - Complimentary Mathematics - Gradient Functions of two variables- Geometry

Tonton & Download Video Musik Gratis

⬇ DOWNLOAD NOW
Kalau muncul iklan pop-up, tutup lalu klik tombol kembali

Download lagu Calicut University-Sem 3 - Complimentary Mathematics - Gradient Functions of two variables- Geometry secara gratis hanya untuk keperluan promosi. Dukung artis favorit kamu dengan membeli musik original di iTunes atau platform resmi lainnya.