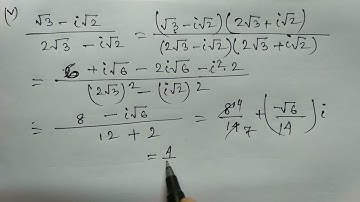
5: জটিল রাশি (Complex Numbers)॥ Class 11॥ S N Dey॥ ছায়া প্রকাশনী॥ অতিসংক্ষিপ্ত #fullsolution #mwm

Tonton & Download Video Musik Gratis

⬇ DOWNLOAD NOW
Kalau muncul iklan pop-up, tutup lalu klik tombol kembali

Download lagu 5: জটিল রাশি (Complex Numbers)॥ Class 11॥ S N Dey॥ ছায়া প্রকাশনী॥ অতিসংক্ষিপ্ত #fullsolution #mwm secara gratis hanya untuk keperluan promosi. Dukung artis favorit kamu dengan membeli musik original di iTunes atau platform resmi lainnya.