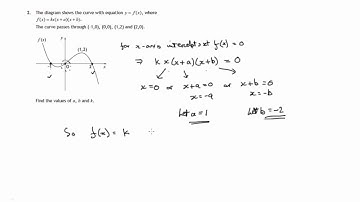
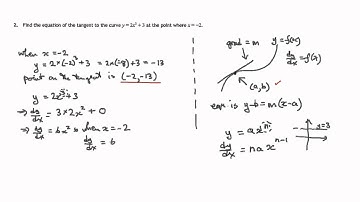
Q2 Paper 1 SQA 2016 CfE Higher Mathematics Exam.

Tonton & Download Video Musik Gratis

⬇ DOWNLOAD NOW
Kalau muncul iklan pop-up, tutup lalu klik tombol kembali

Download lagu Q2 Paper 1 SQA 2016 CfE Higher Mathematics Exam. secara gratis hanya untuk keperluan promosi. Dukung artis favorit kamu dengan membeli musik original di iTunes atau platform resmi lainnya.