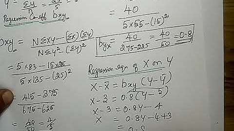
11th Std BM Ex.9.2(10) For 5 observation of pair of(X,Y) of variables X and Y the following results

Tonton & Download Video Musik Gratis

⬇ DOWNLOAD NOW
Kalau muncul iklan pop-up, tutup lalu klik tombol kembali

Download lagu 11th Std BM Ex.9.2(10) For 5 observation of pair of(X,Y) of variables X and Y the following results secara gratis hanya untuk keperluan promosi. Dukung artis favorit kamu dengan membeli musik original di iTunes atau platform resmi lainnya.