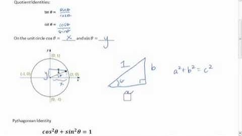
Pre-Calculus Lesson 5-1 Trigonometric Identities Part 3

Tonton & Download Video Musik Gratis

⬇ DOWNLOAD NOW
Kalau muncul iklan pop-up, tutup lalu klik tombol kembali

Download lagu Pre-Calculus Lesson 5-1 Trigonometric Identities Part 3 secara gratis hanya untuk keperluan promosi. Dukung artis favorit kamu dengan membeli musik original di iTunes atau platform resmi lainnya.