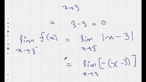
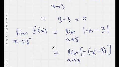
Calculus | Exercise # 1.3 | Question # 1 | S M Yusuf

Tonton & Download Video Musik Gratis

⬇ DOWNLOAD NOW
Kalau muncul iklan pop-up, tutup lalu klik tombol kembali

Download lagu Calculus | Exercise # 1.3 | Question # 1 | S M Yusuf secara gratis hanya untuk keperluan promosi. Dukung artis favorit kamu dengan membeli musik original di iTunes atau platform resmi lainnya.